求数列通项公式的方法(一)

 时间:2024-10-25 09:57:45

1、公式法

求数列通项公式的方法(一)

2、累加法

求数列通项公式的方法(一)求数列通项公式的方法(一)求数列通项公式的方法(一)

3、累乘法

求数列通项公式的方法(一)求数列通项公式的方法(一)求数列通项公式的方法(一)

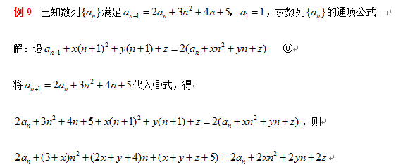
4、待定系数法

求数列通项公式的方法(一)求数列通项公式的方法(一)求数列通项公式的方法(一)求数列通项公式的方法(一)
  • 隐藏着时代少年团名字的网名有哪些
  • 新版QQ怎么自己加自己为好友?
  • 和平精英如何获取庄周梦蝶套装
  • 洋葱免费小说APP上如何充值书币
  • 如何正确使用手机
  • 热门搜索
    脸圆的女生适合什么发型 德能勤绩廉指什么 胡子像什么比喻句 苹果5g手机什么时候上市 什么网站下载电影好 什么是官本位 suggest是什么意思 沆瀣一气的意思 前七后八是什么意思 中秋节送礼送什么